弹性模量描述了当有力施加于物体或材料上时,它抵抗弹性形变的能力。主要有以下几种类型:
- 杨氏模量
- 泊松比
- 拉梅常数
- 体积模量

杨氏模量(Young’s modulus)
线弹性理论中应力与应变是线性关系,因此$\sigma_x$和$\epsilon_x$有线性关系:
$$\epsilon_x = \frac{1}{E} \sigma_x$$
杨氏模量是描述固体材料抵抗形变能力的物理量,反映了材料的硬度。
泊松比 (Poisson’s ratio)
由于应力$\sigma_x$的作用,导致材料宽度$D$的增加,可以用泊松比来描述。因为水平方向
$\epsilon_y = \epsilon_z = (D - D’)/D$是一个负数,所以这样定义:
$$v = - \frac{\epsilon_y}{\epsilon_x}$$
泊松比描述了轴向压缩时横向扩张的能力。
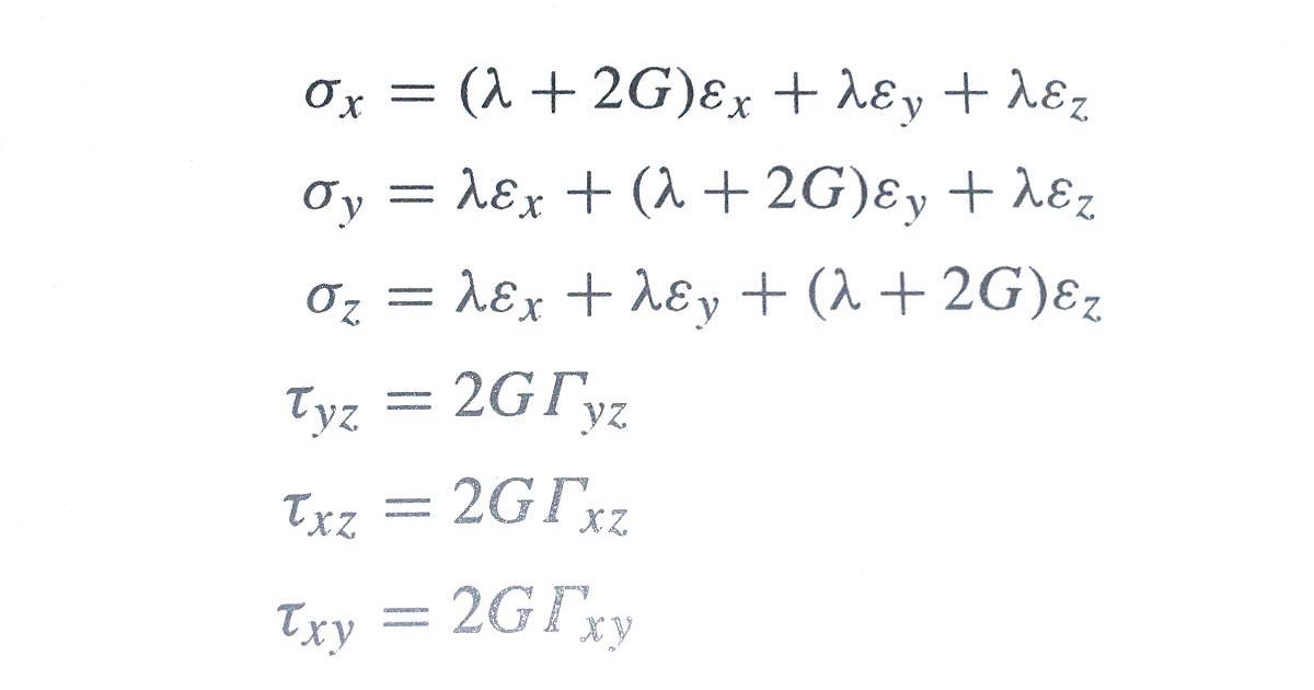
拉梅常数 (Lame’s parameters)
对于各向同性介质,应力应变满足:

其中$G$又被称为刚性模量(the modulus of rigidity)或者剪切模量(the shear modulus),它描述了
材料对剪切形变的抵抗能力。
体积模量 (the bulk modulus)
它定义了静水压力与体积应变的比,在静水压力下,$\sigmap = \sigma_x = \sigma_y = \sigma_z$,而
$\epsilon{vol} = \epsilon_x + \epsilon_y + \epsilon_z$,所以
$$K = \frac{\sigmap}{\epsilon{vol}} = \lambda + \frac{2}{3}G$$
$K$描述了材料对静水压力的抵抗能力
compaction modulus or oedometer modulus
$$H = \lambda + 2G$$
上述所有模量的单位与应力单位相同,例如Pa, psi, bar;而应变属于无量纲的量
最后是这些模量的转换关系如下:
